随着云视频、区域链等新兴消费应用兴起,互联网流量以每年60%的速度增长,远远超出思科公司的预测。互联网流量的急剧增加,导致数据中心内部需要消耗大量电能(新数据中心能耗已超过500MW)。并且,5G和激光雷达等应用的涌现,进一步加剧了数据中心内部的能耗。以光纤为基础的光互连技术已广泛的应用于数据中心,如何在保证高速数据传输的同时,降低数据中心内部光互连能耗,包括激光器芯片、探测器芯片、驱动电芯片的能耗,成为近年来研究的热点。
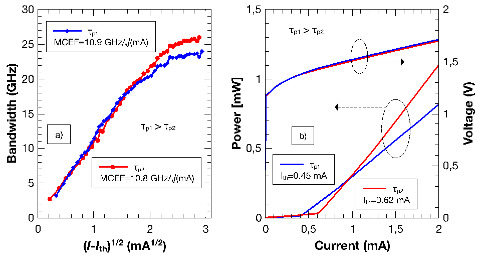
针对这一问题,=>乐彩汇中德中心开展了高速、低功耗垂直腔面发射激光器(VCSEL)的研究工作,以期实现高速、低功耗数据传输。研究团队在OM5多模光纤中基于PAM2调制实现了50Gbit/s的高速数据传输和240fJ/bit的能耗,并且验证了850nm、880nm、910nm、940nm 四波长VCSELs基于波分复用的200Gbit/s的高速数据传输方案。在此基础上,研究团队进一步通过优化VCSEL腔内光子寿命同时降低VCSEL偏置电流,实现了基于980nm VCSEL单通道25Gbit/s速率下100fJ/bit的超低能耗,通过8通道25Gbit/s 链路方案,在保证200 Gbit/s的传输速率条件下,总能耗可有效降低至4通道50Gbit/s 方案的50% (表1)。这一方案由于VCSEL工作在较低偏置电流下,不仅可延长VCSEL芯片的寿命,同时减少了VCSEL的热量散发,可进一步降低器件制冷所需能耗。

不同光子寿命下(a)VCSEL带宽和(b)L-I-V特性

不同光子寿命VCSEL在不同传输速率下的能耗
该研究成果以“Optimization of VCSEL photon lifetime for minimum energy consumption at varying bit rates”为题发表在Optics Express上,通讯作者为Gunter Larisch副研究员和田思聪副研究员。此工作得到了中科院国际人才计划(PIFI)以及国家重点研发计划(2018YFB2201000)的支持。发光学及应用国家重点实验室佟存柱主任为工作提供了工艺实验条件。
文章链接:https://www.osapublishing.org/oe/abstract.cfm?uri=oe-28-13-18931